鄂君启金节

战国 《鄂君启金节》 安徽省博物馆藏


节是水陆交通运输凭证,相当于现在的交通运输通行证。《鄂君启节》于1957年4月在安徽省寿县城南邱家花园出土,分为舟节和车节两种,是战国中期楚国器,青铜铸造。舟节(右)主要用于水路运输通行;车节(左)主要用于陆路运输通行。使用时货主与官吏各有相同的节,对核后无误才可通行。
此次出土车节3件(形式和铭文均相同),舟节2件(形式和铭文均同)。车节长29.6厘米,宽7.1厘米,厚0.6厘米,弧宽8.0厘米。舟节长31厘米,宽7.2厘米,厚0.7厘米,弧宽8.0厘米。车节为陆路通行政,三件大小相同,可拼成一个大半圆的“竹筒”(五件可拼成一个完整的)。每件计有铭文9行,行16字,共计150字(重文4字)。舟节为水路通行证,较车节稍长,每件计有铭文9行,行18字,共计165字(重文2字,合文1字)。
金节上的铭文记载了楚怀王六年(公元前323年),楚怀王发给一个叫鄂君启的人使用的运输货物的免税证件(“鄂君启”中的“鄂”为地名,“启”是鄂君之名。鄂君启,字子皙,是战国时期楚怀王之子)。铭文中详细规定了鄂君启水路、陆路交通运输的路线、车船大小与数量、运载额、运输货物的种类、禁运货物和纳税及免税情况等。它对于当时的政治、经济、军事、交通等都有着巨大的研究价值。
此“金节”用铜铸成,因形似劈开的竹节,故名“节”。这种“车节”和“舟节”,迄今为止仅此一见,因而极为珍贵。为防奸杜伪,在镶嵌工艺的基础上进行“错金银”再创作,故又称《错金鄂君启金节》。错金银也叫“金银错”,其方法是在青铜器铸造时铸出腰槽,将金银片、丝放入槽内,锤打后错实磨平。这一工艺是在春秋时期产生的,应用至今。《鄂君启节》铭文挺拔秀丽,圆润秀劲,庄严肃穆是错金铭文中的精品。
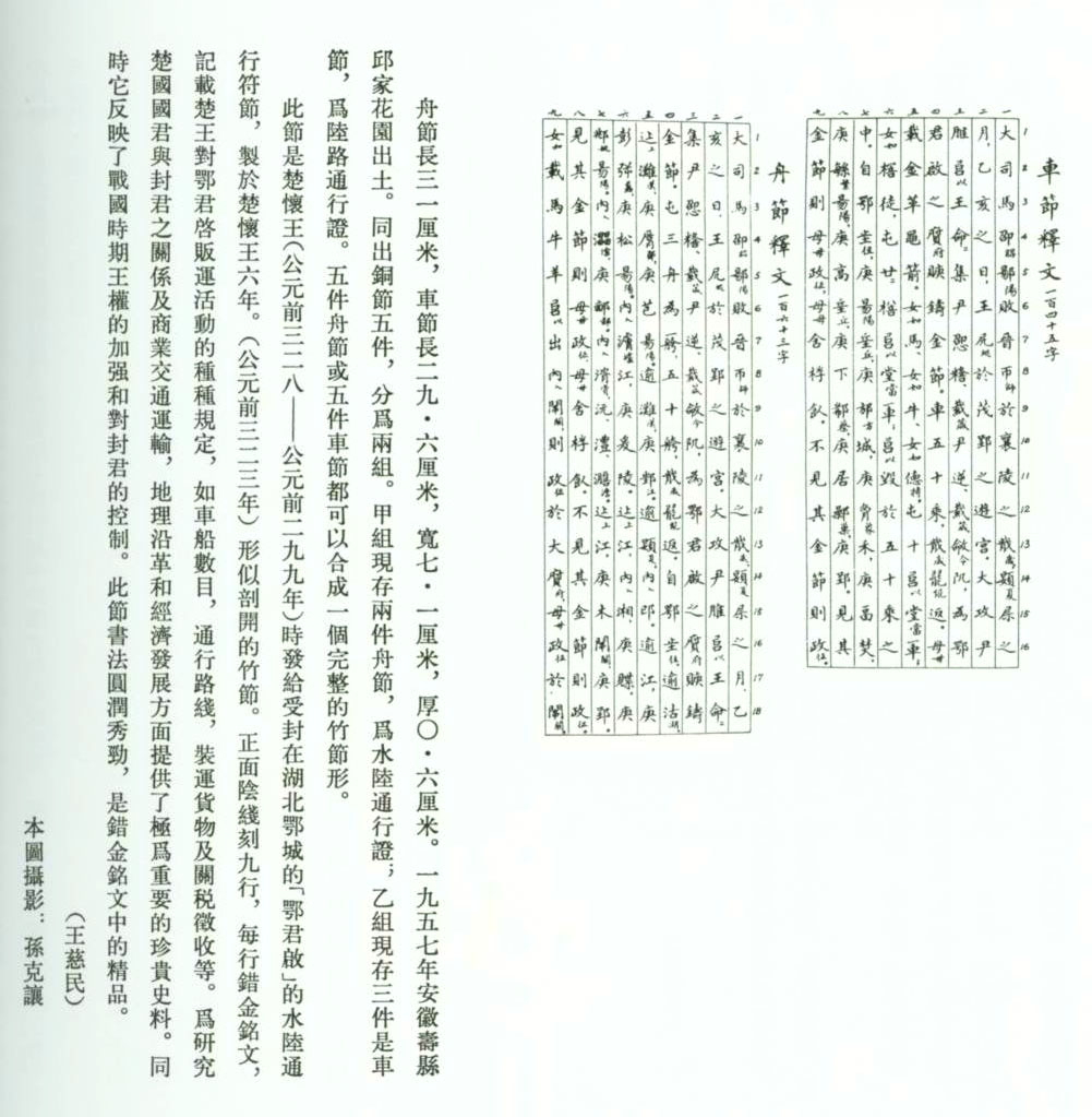
车节铭文如下:
大司马昭阳败晋师于襄陵之岁,夏囗之月,乙亥之日,王居于茂郢之游宫。大工尹囗以王命,命集尹囗囗,囗尹逆,囗令阢为鄂君启之囗囗铸金节。车五十乘,岁能返。毋载金、革、黾(渑)、箭,如马、如牛、如特,屯十以当车;车如棓(棒)徒,屯廿廿(二十)棓以当一车,车以毁于五十乘之中。自鄂往,庚昜丘,庚邡城,庚囗禾,庚畐焚(或作埜),庚繁昜,庚高丘,庚下囗(蔡),庚居鄛,庚郢。见其金节毋征,毋舍桴饲,不见其金节则征。
舟节铭文如下:
大司马昭阳败晋师于襄陵之岁,夏囗之月,乙亥之日,王居于茂郢之游宫。大工尹囗囗铸金节。屯三舟为舿,五十舿,舿岁能返。自鄂往,逾湖,徒(涉)汉,庚邔,庚芑昜,逾汉,庚郢,逾夏,内囗,逾江,庚囗(彭)囗,庚松昜,内浍江,庚爰陵,徒(涉)江,内湘,庚囗,庚囗昜,内囗,庚鄙,内囗,沅、澧、囗、徒(涉)江,庚木关,庚郢。见其金节毋征,毋舍桴饲;不见其金节则征。如载马、牛、差以出内关,则征于大府,毋征于关。

舟节上半部铭文局部

舟节上半部铭文

舟节下半部铭文局部

舟节下半部铭文 本版图文分别由可嘉 zhyg_239提供
中国美院硕士开设的书法高考培训班(有需要了解的扫码加微信)

